BANGALORE: The Bangalore city traffic police who have recently implemented stringent action against drink and drive and compulsory..
BHUBANESWAR: Chairperson of the State Commission for Women (SCW) Jyoti Panigrahi has come in the firing line of various political ..
BANGALORE: When the entire nation is gearing up for Republic Day celebrations on Thursday, the Department of Collegiate Education ..
BHUBANESWAR: Good news for nature lovers. Those who want to soak in the serene atmosphere of Satkosia, with the gorgeous Mahanadi ..
HYDERABAD: In a landmark judgement by the AP High Court over a petition filed by RTI activist G Bhargavi, the state government has..
RIM, in the last 18 months, has managed to grab a big chunk of the smartphone market in India.
HYDERABAD: The action of the state government in posting me as the director general of police is valid and justifiable, DGP V Dine..
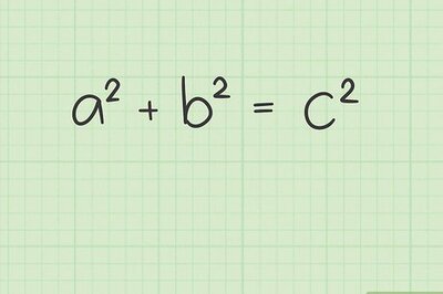
All right triangles have one right (90-degree) angle, and the hypotenuse is the side that is opposite or the right angle, or the longest side of the right triangle.[1] X Research source The hypotenuse is the longest side of the triangle, an...
Employees of public sector and old private sector banks are on a day-long strike to protest banking sector reforms.
It was a mixed bag for the participants on day two of the job fair held at Federation of Andhra Pradesh Chambers of Commerce and I..
BANGALORE: The High Court on Thursday admitted a PIL challenging Bangalore Development Authority's (BDA) move to sell corner site..
CHENNAI: The bus rapid transit system, which has revolutionised the transportation sector in cities like Ahmedabad may soon become..
Ghorai claimes that 10 of his supporters were injured when CPM activists attacked them in Burdwan district.
According to the World Bank, the damages due to the natural calamity could be up to $235 billion.
Janata Dal-Secular party had claimed that his assets were worth Rs 1,000 crore.